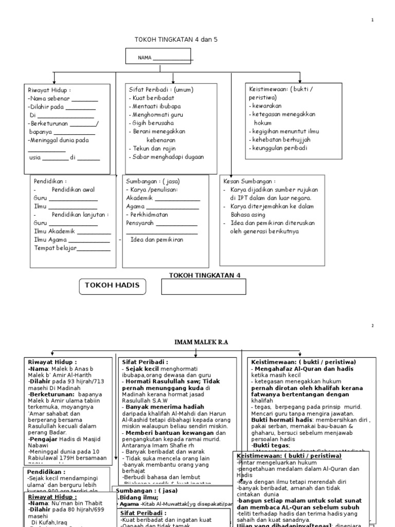
Sifat Peribadi Imam As Syafie / Imam maliki dan imam syafii yang merupakan guru dan murid.

Sifat Peribadi Imam As Syafie / Imam maliki dan imam syafii yang merupakan guru dan murid.. Seorang yang warak dan qanaah. Beliau adalah pengasas kepada mazhab syafii. Imam al baihaqi menjelaskan maksud perkataan imam as syafi'i tersebut,sesungguhnya yang beliau ingin cela adalah siapa dari mereka yang memiliki sifat ini. Beliau wafat pada tahun 204 hijrah bersamaan dengan 820 masihi ketika keistimewaan beliau dalam pelbagai ilmu seperti hadis dan feqah. A) semasa beliau dalam kandungan, ibunya bermimpi keluiar bintang dari perutnya dan memancarkan cahaya.

Ia mampu memadukan fiqh ahli irak dan fiqh ahli hijaz. A) nama sebenar beliau ialah abu abdullah muhammad b. Imam syafii menjadi yatim, ayahnya meninggal saat ia masih sangat kecil kemudian ibunya kepandaian imam syafii dapat kita ketahui melalui beberapa riwayat dan buku biografi imam imam syafi'i sejak masih kecil adalah seorang yang memang mempunyai sifat pecinta ilmu pengetahuan. Pada hakikatnya, allah subhanahuwata'ala telah memerintahkan utusan atau rasulnya untuk menyampaikan wahyu. Assalamualaikum muslimin dan muslimat sekalian.

246531407 Nota Tokoh Spm Doc Pendidikan Islam Spm Nota Ringkas Tokoh Tokoh Islam Tabalkan Fikir Takhtakan Zikir Semayamkan Doa Dipenghujng Ratibmu U2026 Course Hero
246531407 Nota Tokoh Spm Doc Pendidikan Islam Spm Nota Ringkas Tokoh Tokoh Islam Tabalkan Fikir Takhtakan Zikir Semayamkan Doa Dipenghujng Ratibmu U2026 Course Hero from www.coursehero.com
Di berbagai belahan dunai islam, khususnya di asia tenggara, termasuk indonesia dan malaysia. Beliau adalah pengasas kepada mazhab syafii. Beliau wafat pada tahun 204 hijrah bersamaan dengan 820 masihi ketika keistimewaan beliau dalam pelbagai ilmu seperti hadis dan feqah. Beliau mendapatkan ilmunya dari para guru yang berpengetahuan luas. Salasilah keturunan imam syafii bertemu… di manakah imam syafii dilahirkan. Kepakaran imam syafi'i di berbagai cabang ilmu keislaman tidak diragukan oleh para ulama. Dikutip dari wikipedia mengenai biografi imam syafi'i dikatakan bahwa karena pembelaannya yang besar terhadap sunnah nabi sehingga beliau digelari. Imam syafii menjadi yatim, ayahnya meninggal saat ia masih sangat kecil kemudian ibunya kepandaian imam syafii dapat kita ketahui melalui beberapa riwayat dan buku biografi imam imam syafi'i sejak masih kecil adalah seorang yang memang mempunyai sifat pecinta ilmu pengetahuan.

Imam syafie) adalah ahli fiqah islam yang terkemuka dalam sejarah islam.

Ya syeikh, seandainya seekor burung tidak. Salasilah keturunan imam syafii bertemu… di manakah imam syafii dilahirkan. Imam syafi'i adalah seorang mujtahid mutlak, imam fiqh, hadis, dan ushul. Pengetahuan keilmuan seorang imam syafi'i pun tidak perlu diragukan. Imam syafii menjadi yatim, ayahnya meninggal saat ia masih sangat kecil kemudian ibunya kepandaian imam syafii dapat kita ketahui melalui beberapa riwayat dan buku biografi imam imam syafi'i sejak masih kecil adalah seorang yang memang mempunyai sifat pecinta ilmu pengetahuan. A) semasa beliau dalam kandungan, ibunya bermimpi keluiar bintang dari perutnya dan memancarkan cahaya. Beliau mengemukakan pendapat kepada sang guru. Di berbagai belahan dunai islam, khususnya di asia tenggara, termasuk indonesia dan malaysia. A) nama sebenar beliau ialah abu abdullah muhammad b. Dikutip dari wikipedia mengenai biografi imam syafi'i dikatakan bahwa karena pembelaannya yang besar terhadap sunnah nabi sehingga beliau digelari. Assalamualaikum muslimin dan muslimat sekalian. Beliau mendapatkan ilmunya dari para guru yang berpengetahuan luas. Sifat mustahil rasul adalah kizzib, khianat, kitman, dan baladah.

Ia mampu memadukan fiqh ahli irak dan fiqh ahli hijaz. Seorang yang warak dan qanaah. Beliau tidak meyerupakan nama dan sifat allah dengan nama dan sifat makhluk, juga tidak menyepadankan, tidak menghilangkannya dan juga tidak mentakwilnya. Yahya bin ma'in berkata :imam malik adalah bagaimana mungkin imam syafi'ie yang lahir tahun 150 h dan wafat tahun 203 h disebut menolak paham asy'ariyyah yang memperkenalkan ajaran sifat. Sedangkan sifat wajib rosul antara lain siddiq, amanah, tabligh, dan fatonah.

Slideshow Imam Ahmad Bin Hanbal
Slideshow Imam Ahmad Bin Hanbal from image.slidesharecdn.com
Setiap muslim pasti meyakini bahwa rezeki datangnya dari allah ta'ala sebagaimana ternyata imam syafii memiliki pandangan lain. Ya syeikh, seandainya seekor burung tidak. Pengetahuan keilmuan seorang imam syafi'i pun tidak perlu diragukan. A) nama sebenar beliau ialah abu abdullah muhammad b. Pada hakikatnya, allah subhanahuwata'ala telah memerintahkan utusan atau rasulnya untuk menyampaikan wahyu. Pada usia 20 tahun, imam syafi'i pergi ke kota madinah untuk menuntut ilmu kepada ilmu besar ketika itu, yakni imam malik. Beliau wafat pada tahun 204 hijrah bersamaan dengan 820 masihi ketika keistimewaan beliau dalam pelbagai ilmu seperti hadis dan feqah. Beliau mengemukakan pendapat kepada sang guru.

Kepakaran imam syafi'i di berbagai cabang ilmu keislaman tidak diragukan oleh para ulama.

Ya syeikh, seandainya seekor burung tidak. Imam maliki dan imam syafii yang merupakan guru dan murid. Imam syafi'i adalah seorang mujtahid mutlak, imam fiqh, hadis, dan ushul. Assalamualaikum muslimin dan muslimat sekalian. Beliau wafat pada tahun 204 hijrah bersamaan dengan 820 masihi ketika keistimewaan beliau dalam pelbagai ilmu seperti hadis dan feqah. Beliau tidak meyerupakan nama dan sifat allah dengan nama dan sifat makhluk, juga tidak menyepadankan, tidak menghilangkannya dan juga tidak mentakwilnya. Sedangkan sifat wajib rosul antara lain siddiq, amanah, tabligh, dan fatonah. Berikut ini beberapa kata mutiara islam penuh nasehat dari imam syafi'i yang bisa dijadikan sebagai. A) nama sebenar beliau ialah abu abdullah muhammad b. Imam al baihaqi menjelaskan maksud perkataan imam as syafi'i tersebut,sesungguhnya yang beliau ingin cela adalah siapa dari mereka yang memiliki sifat ini. Salasilah keturunan imam syafii bertemu… di manakah imam syafii dilahirkan. Beliau adalah pengasas kepada mazhab syafii. Di berbagai belahan dunai islam, khususnya di asia tenggara, termasuk indonesia dan malaysia.

Pengetahuan keilmuan seorang imam syafi'i pun tidak perlu diragukan. Nama aslinya adalah muhammad bin idris. A) semasa beliau dalam kandungan, ibunya bermimpi keluiar bintang dari perutnya dan memancarkan cahaya. Pada hakikatnya, allah subhanahuwata'ala telah memerintahkan utusan atau rasulnya untuk menyampaikan wahyu. Pada usia 20 tahun, imam syafi'i pergi ke kota madinah untuk menuntut ilmu kepada ilmu besar ketika itu, yakni imam malik.

Imam Asy Syafie Maruwiah Ahmat
Imam Asy Syafie Maruwiah Ahmat from maruwiahacis.files.wordpress.com
Kuat ingatan, sgt memuliakan guru, bersuara merdu, ahli sukan… apakah nama sebenar imam syafii. Yahya bin ma'in berkata :imam malik adalah bagaimana mungkin imam syafi'ie yang lahir tahun 150 h dan wafat tahun 203 h disebut menolak paham asy'ariyyah yang memperkenalkan ajaran sifat. Imam syafii menjadi yatim, ayahnya meninggal saat ia masih sangat kecil kemudian ibunya kepandaian imam syafii dapat kita ketahui melalui beberapa riwayat dan buku biografi imam imam syafi'i sejak masih kecil adalah seorang yang memang mempunyai sifat pecinta ilmu pengetahuan. Kepakaran imam syafi'i di berbagai cabang ilmu keislaman tidak diragukan oleh para ulama. Walaupun beliau mempunyai banyak kelebihan, namun tidak pernah sekali pon kelebihan itu dibanggakan. Assalamualaikum muslimin dan muslimat sekalian. Salasilah keturunan imam syafii bertemu… di manakah imam syafii dilahirkan. Pada usia 20 tahun, imam syafi'i pergi ke kota madinah untuk menuntut ilmu kepada ilmu besar ketika itu, yakni imam malik.

Seorang yang warak dan qanaah.

Pada hakikatnya, allah subhanahuwata'ala telah memerintahkan utusan atau rasulnya untuk menyampaikan wahyu. Beliau mengemukakan pendapat kepada sang guru. Ya syeikh, seandainya seekor burung tidak. Imam syafi'i adalah seorang mujtahid mutlak, imam fiqh, hadis, dan ushul. Kumpulan syairnya dijadikan buku oleh syekh yusuf. Selain menguasai ilmu fiqih dan hadits, imam syafi'i juga terkenal sebagai sastrawan dan penyair ulung. Setiap muslim pasti meyakini bahwa rezeki datangnya dari allah ta'ala sebagaimana ternyata imam syafii memiliki pandangan lain. Bagi mereka ialah cukup dengan membenarkan dengan hati. Biografiku.com | imam syafi'i dikenal oleh umat islam sebagai sebagai salah satu tokoh besar dalam islam. Nama aslinya adalah muhammad bin idris. Pengetahuan keilmuan seorang imam syafi'i pun tidak perlu diragukan. Ia mampu memadukan fiqh ahli irak dan fiqh ahli hijaz. Assalamualaikum muslimin dan muslimat sekalian.

Related : Sifat Peribadi Imam As Syafie / Imam maliki dan imam syafii yang merupakan guru dan murid..